CFDが介入しないアプローチ提唱
FLOW-3D HYDRO は、英国のコンサルティング会社が、このケースでは何も行動を起こさないことが最善の策であると判断するのに役立った。

ドローンによるフェザーストーン水位観測所とその周辺地域の航空写真。
これらの施設(流量観測所と呼ばれる)は、河川の流量または体積流量を継続的に推定するために使用されます。タイン川とその支流沿いには、このような流量観測所が16か所あり、環境庁(EA)によって維持管理されています。環境庁は、自然保護、洪水管理、および土地と水の汚染規制を担当する組織です。
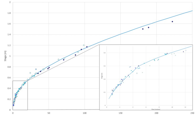
こうした施設は、水位、すなわち「水位」を連続的に測定することで機能します。そして、これらの測定値は、水位測定値と河川流量の関係を定義する既存の「流量曲線」と組み合わせて使用されます。
正確な流量曲線は流量予測において極めて重要であり、流量観測所において流量と水位をあらゆる流量範囲にわたって繰り返し手動で測定することによって作成されます。堆積物の沈着や植生の生育などによって河床に変化が生じた場合、流量曲線の再作成が必要になることがあります。サウス・タイン川には、大量の砂利からなる重要な堆積物源があり、これらは増水時に移動して堆積します。
場合によっては、環境庁は定期的な砂利除去によってこの問題に対処してきましたが、これは時間と費用がかかります。浚渫は河川の生態系に悪影響を及ぼし、魚の回遊を妨げる可能性もあり、さらに、様々な場所に重機を運び込むことで発生する大きな二酸化炭素排出量も無視できません。
ストーム・デズモンド

ここに示したような評価曲線は、複数のデータポイントをグラフ上に手動で記録することによって作成され、数ヶ月、場合によっては数年にわたる繰り返し測定が必要となる。
同グループは、従業員約700名を擁し、英国および海外にオフィスを持つ、ノースヨークシャーに拠点を置く環境工学およびリスク管理会社であるJBAコンサルティングに連絡を取りました。技術ディレクターのケイト・ブラッドブルック氏は、 CFD 解析によって、EAはステーションの流量曲線に基づく流量予測と、堆積物の沈下やステーションのその他の物理的変化を考慮したCFDモデルによる流量予測を比較できると説明しました。
この演習は、EAに既存の評価曲線についての洞察を与え、できればその妥当性を検証するだけでなく、将来の評価曲線の精度に影響を与える可能性のある他のシナリオを評価するのにも役立つでしょう。「最初のCFD研究には3つの主要な要素がありました」とブラッドブルックは言っています。
「まず、既存の流量曲線を仮想的に再現し、その流量パターンを説明することを目標としました。そうすることで、モデル予測に対する信頼性を高めることができると考えました。次に、想定される堆積と侵食のシナリオが流量に与える影響を検証し、続いてせん断応力を予測して河道の安定性を評価しました。」
浚渫するべきか、しないべきか?

CFDモデルで表現された高解像度の河床。砂利の浅瀬(灰色)が、クランプ堰(黄色)と隣接する構造物を取り囲んでいる。
その冬、大西洋の嵐デズモンドが接近してからほぼ6年後、再び嵐が上陸しました。ブラッドブルックが以前に定めた流量の閾値を超え、環境庁は彼女と彼女のチームに再び連絡を取りました。当然のことながら、2回目の調査でも1回目の調査結果が確認され、流量曲線は依然として正確でした。しかし、予想されていた堆積物の増加は全く起こらなかったことは驚くべきことでした。
「上流の河岸浸食の状況から、砂利がどんどん堆積して堰がほぼ埋まってしまうのではないかと懸念するのは当然でした」とブラッドブルック氏は語ります。「しかし、今回の洪水で実際に起こったのは、その地域から緩い石が完全に洗い流されたことでした。急流がそれらを拾い上げ、堰の反対側に落としたのです。ですから、少なくともこの件に関しては、浚渫は不要だったようです。自然が問題を解決してくれたのです。」
構築のその先へ

後のサウス・タイン川の様子です。右のCFDモデルは、このような増水時に測定が困難かつ危険な流体の流れの詳細を示している。
CFDソフトウェアプラットフォームはさておき、彼女は、閾値流量を超えた後の2回目の調査で驚くべき発見があったと指摘します。嵐後の河床は実際には以前よりも安定しており、これはEAが従来の流量と水位の測定だけに頼っていたら検出できなかった特性です。このため、ブラッドブルック氏は手動でのデータ収集を必要とせずに、将来のイベントに対する閾値流量を引き上げることができました。
「流量曲線は、グラフ上に複数のデータポイントを記録することで作成されるため、更新するには、数ヶ月、場合によっては数年というかなり長い期間にわたって繰り返し測定を行う必要があります。また、洪水を予測するには、洪水発生時にデータを収集する必要があり、それでは本来の目的が損なわれてしまいます。CFD(計算流体力学)は、こうした問題をすべて回避します。」
ケイト・ブラッドブルック、JBAコンサルティング社テクニカルディレクター
繰り返しになりますが、これは長期間にわたる情報収集と、水位や流速の変化への対応を必要とする、時間のかかるプロセスです。一方、CFD(計算流体力学)を用いることで、研究者は「時間を圧縮」し、数ヶ月や数年ではなく、数時間や数日で様々なシナリオを検証できます。さらに、CFDは、サウス・タイン川における砂利の堆積など、エンジニアが様々な「もしも」のシナリオを評価することを可能にします。
この成功事例は、近年EA(環境庁)をはじめとする英国各地の機関でCFD(計算流体力学)を何度も活用してきたブラッドブルック氏にとって、驚くべきことではない。あるプロジェクトでは、 FLOW-3D HYDRO を用いることで、ポンプ場の改修工事中に下流側の洗掘防止対策を設置するという顧客の計画が過度に慎重なものであることを実証し、大幅なコスト削減を実現しました。
「ロンドンの鉄道橋でも同様のプロジェクトがありました」と彼女は言っています。「CFDは侵食と流れのパターン間の相互作用を表し、この場所では、技術者が一般的に使用する単純な経験的洗掘計算で推定された洗掘深さが大幅に過大評価されていることが示されました。CFDは人間の目には見えないものを非常に視覚的に表現できるため、非常に説得力のある強力なツールです。」











